ÈÈËѹؼü´Ê£º µ°¼¦ËÇÁÏÌí¼Ó¼Á³§¼Ò ÉúÎïËÇÁÏÌí¼Ó¼Á Ìí¼Ó¼ÁËÇÁÏ ËÇÁÏÌí¼Ó¼Á³§¼Ò
1.¿óÎïÔªËØÊÇÉúÃüÌå»ù±¾ÓªÑøËØÖ®Ò»£¬¹¦Ð§·á¸»¶à²Ê£ºÌúÊÇ»îÁ¦Ö®±¾£¬Ð¿ÊÇÉúÃüÖ®»¨£¬ ÃÌÊÇ¹ÇÆøÖ®Ô´£¬ ÍÊÇϸ¾ú¿ËÐÇ£¬¼ØÊÇÆ½ºâÖ§Öù£¬Ã¾ÊÇϸ°û±£»¤Éñ£¬ µâÊÇÖÇ»ÛԴȪ£¬ îÜÊÇÆ¯ÁÁÅ®Éñ£¬ ÎøÊÇ¿¹Ñõ»¯Í³Ë§¡£
2.пÊÇÖØÒªµÄ¿óÎïÔªËØ£¬¹¦ÄܶàÑùÇÒÊ®·ÖÖØÒª£º
A.Õ¼×ÜÌåÖØÔ¼30ppm£¬¹Ç÷À28%£¬¸ÎÔàºÍƤ·ô8%¡¢ÑªÒº2.5%¡¢ÆäËü1.7%¡£
B.ÓйØ300¶àÖÖø»îÐÔ£¬²ÎÓëµ°°×ÖÊ¡¢Ì¼Ë®»¯ºÏÎï¡¢Ö¬·¾¡¢Î¬ÉúËØ£¨ÈçVA.VC£©´úл¡£
C.²ÎÓë¼¤ËØµÄ×é³ÉºÍºÏ³É£¬ÒȵºËØ¡¢Ç°ÁÐÏÙËØ¡¢´ÙÉöÉÏÏÙËØ¡¢Éú³¤¼¤ËØ£¬Ó°ÏìÐÔÏٻºÍÐÔ¼¤ËØ·ÖÃÚ¡£
D.ά³ÖÉúÎïĤµÄ½á¹¹ºÍ¹¦ÄÜ£¬Óëð¤Ä¤ÉÏÆ¤Ï¸°ûÍêÕûÐÔÏà¹Ø
E.ÔÚÄÔ¹¦ÄÜ¡¢ÊÓ¾õ¼°Æäµ÷½ÚÐÐΪ·½ÃæÓÐÖØÒªµÄ×÷Óá£
F.ÃâÒ߸¨ÖúÒò×Ó¼°ÔöÇ¿¼Á¡¢¿¹Ñõ¼ÁºÍ²¹Ìå,Ìá¸ßÃâÒßÁ¦¡£
3.¶ÔÓÚÑõ»¯Ð¿£¬ÊµÏÖÈý´ÎÌáÖÊ´´Ð¡£
Ñõ»¯Ð¿Èý´ÎÌáÖÊ´´Ð£¬Öð´ÎʵÏÖÔöЧ¼õÁ¿£¬Õû³¦Ð¿£¨¹ýθÐÍÁ«»¨Ð¿£©¹ýθÂÊ¡Ý70%£¬ÔÚ×ÐÖíµÄÓÃÁ¿ÒѼõÖÁ1.0-1.5kg/¶ÖÁÏ£¨¼ûÏÂͼ£©¡£
4.¶ÔÓÚÁòËáп£¬µÍÂȶø¸ßÎȶ¨ÐÔ¡£
¾«Éî¼Ó¹¤¶ø³ÉµÄµÍÂÈп¾ßÓеÍÂÈÀë×Ó¡¢µÍÖØ½ðÊô¡¢¸ßÎȶ¨ÐÔµÄÌØµã£¨¼ûÏÂͼ£©¡£
5.¶ÔÓÚÓлúп£¬¾«ÒæÇ󾫣¬¹æÄ£Ò»Á÷¡£
¸Ê°±Ëáп
ppµç×ÓÄ£ÄâÆ÷¹ÙÍøÊǸʰ±Ëáп¡¢¸Ê°±ËáÍÍÅÌå±ê×¼Æð²Ýǣͷµ¥Î»£¬ÓëͬÀà²úÆ·Ïà±È¾ßÓÐÓÎÀë¸Ê°±ËẬÁ¿¸üµÍ¡¢½ðÊôÓë¸Ê°±ËáĦ¶û±È¸üµÍ¡¢ÂçºÏÎﺬÁ¿¸ü¸ßµÈÓÅÊÆ£¨¼ûÏÂ±í£©¡£
ppµç×ÓÄ£ÄâÆ÷¹ÙÍø¸Ê°±ËáпÔÚ¾§ÌåÐÎ̬ºÍ¾ùÒ»ÐÔ·½ÃæÒ²×öµÃ¸üºÃ£¨¼ûÏÂͼ£©£¬¾ßÓиüºÃµÄÎȶ¨ÐÔ£¬¼¸ºõ²»ÆÆ»µÆäËüÓªÑøËØ£¬ÌرðÊÊÓÃÓÚÓªÑøÅ¨¶È¸ß-»îÐÔÎïÖʺ¬Á¿¸ßµÄËÇÁÏ£¨³ÆÎªË«¸ßËÇÁÏ£©¡£
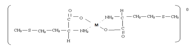
µ°°±ËáпòüºÏÎĦ¶û±È2:1£¬¼ò³Æµ°°±Ëáп£©
Ħ¶û±È2:1µÄµ°°±ËáÐ¿ÎªÕæÕýË«»·òüºÏÓлúÑΣ¨¼ûÏÂͼ£©£¬ÓÅÊÆÓУº¢ÙÒºÏàºÏ³É£¬òüºÏ³¹µ×£¬ÓÎÀë½ðÊôº¬Á¿¸üµÍ£»¢ÚÁ¬Ðø¶à´ÎÏ´µÓ£¬ÁòËá¸ù¼°ÔÓÖʺ¬Á¿¼«µÍ£¬±£Ö¤¸ß´¿¶È£»¢ÛÏȽøµÄ¹â´ß»¯½µ½âÎ²Æø´¦Àíϵͳ£¬±£Ö¤¿É³ÖÐøÉú²ú¡£
ÔÚÖØÒªµÄ¼ì²âÖ¸±ê·½Ã棬òüºÏÂʸü¸ß£¬ÓÎÀë½ðÊô¡¢ÁòËá¸ù¡¢ÖؽðÊôµÈº¬Á¿¸üµÍ£¨¼ûÏÂ±í£©¡£
ÏÔ΢¾µ¹Û²ìppµç×ÓÄ£ÄâÆ÷¹ÙÍø2:1µ°°±ËáпÐÎ̬¸ü¹æÔò¡¢¸ü¾ùÔÈ£¨¼ûÏÂͼ£©
ôÇ»ùµ°°±ËáÀàËÆÎïÂ磨òü£©ºÏп£¨Ä¦¶û±È1:1£¬¼ò³ÆôÇ»ùµ°°±Ëáп£©¡£
ppµç×ÓÄ£ÄâÆ÷¹ÙÍøôÇ»ùµ°°±ËáпµÄºËÐÄÓÅÊÆÊÇÒ»´Î»¯Ñ§ºÏ³É£¬²»¾ºóÆÚ»ìºÏ´¦Àí£¬º¬Á¿¸ü¸ß£¬¸ü´¿£¨¼ûÏÂ±í£©¡£
¾µ¼ìppµç×ÓÄ£ÄâÆ÷¹ÙÍøôÇ»ùµ°°±Ëáп³Ê¾§Ì壬¾ùÔÈ·Ö²¼£¬ÎÞÔÓÖÊ£¬¾§Ð͸ü¼Ñ¡¢²úÆ·¸ü´¿£¨ÈçÏÂͼ£©¡£
ppµç×ÓÄ£ÄâÆ÷¹ÙÍøµÄ¡°Ð¿¼Ò×塱ƷÀàÈ«¡¢Æ·Öʾ«£¬Îª¶¯ÎïÌṩÓÅÖÊÓªÑøÐԺ͹¦ÄÜÐÔпԴ£¬ÈÃÉúÃüÖ®»¨¾«²ÊÕÀ·Å¡£
¡¾±¾ÎıêÇ©¡¿ ppµç×ÓÄ£ÄâÆ÷¹ÙÍøÓлú¿ó Ñõ»¯Ð¿ Õû³¦Ð¿
¡¾ÔðÈα༡¿
΢ÐÅ×Éѯ
ÁªÏµµç»°
²É¹º²¿
Õ¹»áºÏ×÷
¹ú¼ÊÒµÎñ